Berikut ini adalah contoh soal hukum kekekalan energi mekanik dan pembahasannya
Soal No. 1
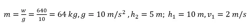
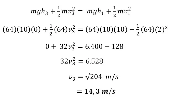
Seorang peloncat indah dengan berat 640 N meloncat dari sebuah papan menara yang memiliki ketinggian 10 m dari permukaan air. Jika peloncat mendorong papan luncur sehingga ia meninggalkan papan dengan kelajuan awal 2,00 m/s, tentukan kelajuan peloncat tersebut saat:
a. Berada pada ketinggian 5 m di atas permukaan air;
b. Menyentuh permukaan air.
Pembahasan:
a). Kelajuan peloncat pada ketinggian 5 m di atas permukaan air, v2 dapat dihitung dengan menggunakan hukum kekekalan energi mekanik sebagai berikut.
b). Dngan menggunakan hukum kekekalan energi mekanik, kelajuan peloncat ketika menyentuh permukaan air, yaitu:
Soal No. 2
Sebuah balok bermassa 2 kg mula-mula diam dan dilepaskan dari puncak bidang lengkung yang berbentuk seperempat lingkaran dengan jari-jari R. Kemudian balok meluncur pada bidang datar dan berhenti di B yang berjarak 3 m dari titik awal bidang datar A. Jika bidang lengkung tersebut licin dan gaya gesek antara balok dan bidang datar sebesar 8 N, besar R adalah ….
A. 0,2 m
B. 0,5 m
C. 1,2 m
D. 1,5 m
E. 1,6 m
Pembahasan:
Pada lintasan AB bekerja gaya gesekan f = 8N yang termasuk gaya nonkonservatif sehingga kita tidak dapat menggunakan hukum kekekalan energi mekanik. Sebagai gantinya yaitu kita menggunakan teorema usaha-energi mekanik, yaitu W = EM = EP + EK. Balok bergerak mendatar sepanjang lintasan AB sehingga EP = 0.




